Subscribe
Sign in
Home
Podcast
Notes
Chat
Archive
Leaderboard
About
1:41:06
Exclusive Interview: DNA Contamination in COVID Shots Amidst Retraction Wars and Cyber Censorship
In a world where questioning the safety of the COVID-19 shots can lead to professional ruin, cyber sabotage, and relentless smear campaigns, a group of…
Jan 13
•
Sonia Elijah
70
10
22
How the UK and Canada Are Leading the West's Descent into Digital Authoritarianism
“Big Brother is watching you.” These chilling words from George Orwell’s dystopian masterpiece, 1984, no longer read as fiction but are becoming a bleak…
Oct 17, 2025
•
Sonia Elijah
111
16
30
🚨German State-Level Study Drops a Bombshell: Higher COVID Vaccination Rates Linked to Sharper Rises in Excess Deaths
Source: Regional patterns of excess mortality in Germany during the COVID-19 pandemic: a state-level analysis
Nov 21, 2025
•
Sonia Elijah
47
2
23
🚨UPDATE Covid Cover-Ups: Excess Deaths, Vaccine Harms, and Coordinated Censorship
This article has been updated to include UK tribunal’s 27-page decision in upholding UKHSA’s refusal for data disclosure and my analysis.
Nov 20, 2025
•
Sonia Elijah
68
9
17
23:00
Regulatory Failure & Pharma Fraud: My presentation at the Spotlight Conference in Norway
I was deeply honoured to speak at the Spotlight Conference in Stavanger, Norway, on April 15, 2023—an inspiring event sponsored by the Binders…
Apr 17, 2023
•
Sonia Elijah
34
8
4
Latest
Top
Discussions
🚨 UK Government Admits NATO’s Hidden Hand in COVID Censorship But Refuses to Release Files
On 30 July, I submitted the following Freedom of Information Act (FOIA) request to the UK Government’s Department for Science, Innovation and Technology…
Nov 1, 2025
•
Sonia Elijah
95
19
30
50:37
True Horrors of Covid Vaccine Harm Data NOW Exposed!
My bombshell interview with data expert and ethical computer hacker, Wouter Aukema from the Netherlands, exposes the true horrors of the trove of data…
May 1, 2024
•
Sonia Elijah
588
111
115
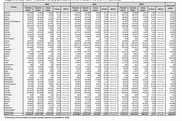
BOMBSHELL STUDY: 3 MILLION EXCESS DEATHS IN 47 COUNTRIES
Researchers from The Netherlands point out COVID-19 vaccines may be to blame
Jun 4, 2024
•
Sonia Elijah
179
15
46
47:42
"Disinformation Dozen" Survivor—Sayer Ji Speaks Out
In this explosive 47-minute interview, GreenMedInfo founder Sayer Ji reveals what it was really like to be publicly branded as one of the world’s…
Nov 25, 2025
•
Sonia Elijah
35
5
16
34:25
Excess Deaths and Hidden Data: Dr Clare Craig on Her Landmark Case Against the UKHSA
Exclusive interview
Nov 20, 2025
•
Sonia Elijah
45
11
19
Covid Cover-Ups: Excess Deaths, Vaccine Harms, and Coordinated Censorship
This article has been updated.
Nov 18, 2025
•
Sonia Elijah
81
20
23
BBC Scandal Unfolds: Executives Resign Amid Deceptive Trump Edit and USAID-Funded Censorship Network Targeting Americans Exposed
Trump threatens $1 billion lawsuit as broadcaster admits “error in judgment” while continuing to perpetuate debunked “Disinformation Dozen” claims…
Published on Sayer Ji's Substack
•
Nov 10, 2025
Bovaer Backlash Update: Danish Farmers Get Green Light to Opt Out as UK Arla Trial Abruptly Ends!
In a pivotal shift, Denmark’s Veterinary and Food Administration has issued new guidance: Farmers can immediately suspend Bovaer administration if they…
Nov 9, 2025
•
Sonia Elijah
110
17
17
Bovaer Backlash: Danish Cows Collapsing Under Mandatory Methane-Reducing Additive
Article updated: November 4
Nov 3, 2025
•
Sonia Elijah
150
45
35
See all
Sonia Elijah investigates
Forensic-style investigative reports and illuminating interviews
Subscribe
Recommendations
View all 60
The Vigilant Fox
The Vigilant Fox
Official Releases from the European Medicines Agency
Dr. Silvia Behrendt
Manuscritos do Paladin
Paladin🎖
Where are the numbers? by Norman Fenton and Martin Neil
Martin Neil
Research Rebel
Josh Guetzkow
Sonia Elijah investigates
Subscribe
About
Archive
Recommendations
Sitemap
This site requires JavaScript to run correctly. Please
turn on JavaScript
or unblock scripts